Introduction
A parallel circuit is a closed loop electrical circuit that contains two or more electrical components such as resistors, inductors, capacitors, voltage sources, or current sources that are connected between the same two nodes. The basic configuration of components connected in parallel is that they share two common nodes and each component has its own two terminals or leads.
Parallel circuits are one of the two most basic arrangements for electrical networks, along with series circuits. But parallel and series circuits behave very differently in terms of voltage drops, current flow, resistance, and power dissipation. Understanding the rules and properties that govern parallel circuits is key for circuit analysis and effective electrical design.
Current Flow in Parallel Circuits

One of the defining characteristics of parallel circuit configurations is the way current flows when voltage is applied. The basic rules for current flow through the individual branches of a parallel circuit are:
- The total current supplied by the source is equal to the sum of the branch currents flowing through each parallel component.
- The current through each branch pathway is determined solely by the voltage applied and the resistance/impedance of that branch alone according to Ohm’s Law.
- Each parallel branch has the same voltage drop across it equal to the source voltage.
- The voltage drop across each branch is identical. Adding additional parallel branches does not affect the voltage across each existing branch.
This is illustrated in the simple parallel circuit below with three resistive branches. When a 12V source is applied, each resistor drops 12V across it. The source current equals the sum of the individual branch currents based on their respective resistances:
So in summary, the defining rules for current flow in parallel circuits are:
- Total current is equal to the sum of branch currents
- Voltage drop is the same across each parallel branch
- Branch currents are determined by branch resistance and obey Ohm’s Law
Calculating Equivalent Resistance
Although each branch in a parallel circuit sees the same voltage drop, the overall circuit can have an equivalent resistance different than the individual resistances. The combined or equivalent resistance of a parallel circuit can be calculated using the formula:
$$R_{eq} = \frac{1}{\sum\limits_{k=1}^n\frac{1}{R_k}}$$
Where:
- $R_{eq}$ is the equivalent resistance
- $n$ is the number of parallel resistors
- $R_k$ is the individual resistance of branch k
For the simple parallel example circuit above, this would be:
$$R_{eq} = \frac{1}{\frac{1}{10\Omega} + \frac{1}{20\Omega} + \frac{1}{30\Omega}} = 6\Omega$$
This combined resistance is lower than any of the individual resistances. Adding more parallel branches decreases the equivalent resistance as more current pathways are available.
Power Dissipation in Parallel Circuits
The power dissipated in each resistor in a parallel circuit follows the expected Ohm’s Law relationship:
$$P = I^2R$$
Where $I$ is the current through that resistor and $R$ is its resistance.
However, an important rule of parallel circuits is that the total power dissipated by the overall circuit is equal to the sum of the power dissipated in each branch:
$$P_{total} = P_1 + P_2 + … + P_n$$
So even though currents divide between parallel branches, powers add up. For the example circuit, the total power from the 12V source is:
$$P_{total} = I_1^2R_1 + I_2^2R_2 + I_3^2R_3 = 1.2W + 0.48W + 0.32W = 2W$$
This demonstrates that the source must provide enough power to match the sum of the power demands of the individual branches.
Applications and Examples
Parallel circuits are very common in electrical engineering applications. Some examples include:
- Batteries in parallel – Batteries are often connected in parallel to increase the total current available from the power source. The voltage remains the same.
- Electrical outlets – Outlets in a building are connected in parallel to provide independent power taps that each supply the full voltage.
- Resistor networks – Parallel resistor combinations are used to create equivalent resistance values that can’t be achieved with a single resistor.
- Integrated circuits – Very small resistors and other components are fabricated in parallel inside ICs to provide required functionality and performance.
- Power distribution – High power systems use parallel branches to supply loads from grids and generators to reduce current per branch.
- Electronics cooling – Fans and pumps can be connected in parallel to provide redundancy if one fails and share the thermal load.
Parallel circuits enable splitting currents, power sharing, redundancy, and circuit isolation. They follow predictable rules that are foundational for more complex circuit analysis.
What Happens in Open and Short Parallel Circuits
Parallel circuits exhibit some unique behaviors when branches are opened or shorted:
Open Branch
If a branch in parallel is opened, that branch no longer conducts current. However, voltage across the remaining branches stays the same.
Total circuit current decreases by the amount that was flowing in the opened branch. Equivalent resistance increases.
Shorted Branch
When a branch is shorted, its resistance drops essentially to zero. This creates a very low resistance path that pulls most of the current.
The shorted branch current is limited only by the source and wiring resistance. Other branch currents decrease. Equivalent resistance decreases toward zero. A direct short often blows a fuse.
So in summary, open branches decrease total current while shorted branches increase total current, assuming an ideal voltage source. These scenarios demonstrate the robustness of parallel circuits.
Troubleshooting Parallel Circuits
Some tips and techniques for troubleshooting issues in parallel circuits:
- Check branch currents – a missing current indicates an open in that branch. Use Kirchhoff’s Current Law.
- Check branch voltages – unequal voltages may indicate a bad connection increasing resistance.
- Check for shorts between branches or to ground causing excessive current flow.
- Measure equivalent resistance. Higher resistance points to an open branch. Lower resistance indicates a possible short.
- Look for loose, corroded, or burnt connections causing unwanted changes in resistance.
- Determine if current is sharing properly between branches. Mismatched resistances can lead to overloads.
- Inspect components like resistors for physical damage which could produce opens or shorts.
- Use a simulator to model the circuit and analyze effects of hypothetical faults.
Thorough understanding of parallel circuit rules combined with methodical troubleshooting procedures will help identify and remedy issues.
Comparison of Series vs Parallel Circuits
The properties of series and parallel circuits differ in important ways:
| Property | Series Circuit | Parallel Circuit |
|---|---|---|
| Current | Same through all components | Divides among branches |
| Voltage Polarity | Drops add to equal source voltage | Same voltage across all branches |
| Resistance | Increases with more components | Decreases with more branches |
| Power Dissipation | Total power equals sum of components | Total power equals sum of branches |
| Component Failure Effect | Open disables circuit, short bypasses other components | Open removes branch, short increases total current draw |
So while series strings components along one path, parallel branches components across multiple paths exhibiting very different characteristics. Both arrangements are critical to understand.
Frequently Asked Questions
What happens if one resistor opens in a parallel circuit?
If one resistor in a parallel circuit opens, that resistor branch no longer conducts current. However, the remaining parallel branches continue functioning normally. The overall equivalent resistance of the circuit increases. Total current flow decreases by the amount that was flowing in the now open branch. Voltage across each branch remains unchanged. The circuit continues working but at slightly reduced capacity.
How do you determine voltage, current, and resistance in a parallel circuit?
- Voltage is the same across each branch by the definition of a parallel configuration.
- Branch currents can be calculated using Ohm’s Law (I=V/R) based on the resistor values.
- Equivalent resistance is found by taking the reciprocal of the sum of the reciprocals of the branch resistances according to the formula for resistors in parallel.
Why is total current equal to the sum of branch currents in parallel circuits?
This is a result of Kirchhoff’s Current Law which states that the algebraic sum of currents into a node must equal the currents flowing out of that node. In a parallel circuit, the incoming source current splits between the outward flowing branch currents. No current is lost, so the source current must exactly equal the sum of branch currents exiting the node for conservation of charge.
What happens when a parallel branch is shorted?
Shorting a branch provides an alternative low resistance path for current to flow. This will divert current from the other branches to preferentially flow through the shorted branch. The equivalent resistance decreases toward zero. Other branch currents will diminish as the short limits voltage. Eventually a large enough short circuit can draw more current than the source or wiring can provide, blowing a fuse.
How are parallel circuits used in electrical systems?
Some common uses of parallel circuits include:
- Wiring buildings with multiple outlet circuits in parallel
- Connecting batteries in parallel to increase capacity
- Building redundancy into safety critical systems through paralleling components
- Combining cooling fans and pumps in parallel for greater airflow or circulation
- Adding capacitor or inductor branches to filter and smooth power supplies
- Creating resistor ladder networks for analog to digital conversion
- Sharing current and power demands among parallel branches
So parallel circuits enable splitting and redirecting electrical flows in many useful ways.
Summary
In summary, the key rules and properties that define parallel electrical circuits are:
- Total current equals the sum of the branch currents
- Voltage is the same across each parallel branch
- Branch currents follow Ohm’s Law depending on branch resistance
- Equivalent resistance decreases as more parallel branches are added
- Total power dissipated equals the sum of power in all branches
- Open branches decrease total current, shorted branches increase total current
Understanding parallel circuit fundamentals provides the basis for more advanced circuit analysis and design for electronics, power systems, and other electrical engineering applications.
Parallel Connection in Circuits:
The two components are said to be in parallel if they are connected back to back or end to end. The potential difference or the voltage drop across each component in parallel is same and the current flowing through each component is different.
Example 1 of Parallel Circuit:
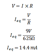
Let us understand from a basic circuit example where three resistors R1 (10KΩ), R2 (2KΩ) and R3 (1KΩ) are connected in parallel with each other. Now we will find out the voltage drop across each resistor, current through each resistor and total equivalent resistance of the circuit.

Voltage
The voltage across each component connected in parallel is the same as the source voltage. Hence

Where VS is the source voltage = 9V battery

Current:
Now applying Ohm’s Law on each resistor to find current through each one.

Hence we can draw a simple table to represent these values
| R1 | R2 | R3 | |
| Resistance (R) | 10KΩ | 2KΩ | 1KΩ |
| Voltage (V) | 9V | 9V | 9V |
| Current (I) | 0.9mA | 4.5mA | 9mA |
Equivalent Resistance of the Parallel Combination of Resistors:
Rule 1:
The equivalent resistance of the parallel combination of two or more than two resistors is always less than the value of smallest resistor in parallel.
Formula for equivalent resistance of more than two resistors connected in parallel is

Hence we can see that the equivalent resistance (R) is less than the smallest resistance (1K) in parallel.
Rule 2:
The equivalent resistance of two equal value resistors connected in parallel is half of that resistor value.
Formula for equivalent resistance of two resistors connected in parallel is

The rule 1 is also applicable for two resistors
Now let R1 = R2 = R = 10KΩ


Hence we can see that the equivalent resistance is exactly equal to half of the two resistance. We can say that
Rule 3:
In general, if “n” equal value resistors are connected in parallel, their equivalent resistance will be

Tips:
- Convert all the units of resistances in one single unit. The units of resistance is mΩ, Ω, KΩ, MΩ
- For calculation do not consider the milli, Kilo, or Mega units. Simply do math on numbers and add the unit to the final result.
Now back to the example 1, we can draw the equivalent circuit using equivalent resistor. Now we can calculate the total current (I) flowing through the circuit。

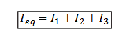
Total Current or Equivalent Current:
Apply Ohm’s Law again

We can see that this total current is the sum of all the branch currents flowing through each resistor.
Hence we can say that

Nodes:
The node is the junction point where two or more terminals meet each other.
As we can see that the connection in blue color is shared between all components in parallel.
The node 1 is positive because it is connected to DC power source positive terminal and Node 2 is negative or GND (ground) terminal because it is connected to source negative terminal.

Rule 4:
If “n” equal resistors are connected in parallel, they will have equal current flowing through them and that current is

Where is the total / equivalent current of parallel circuit
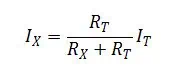
Current Divider Rule:
The current divider rule says that the sum of all the branch currents connected in parallel is equal to the total current flowing.
Through the help of current divider rule we can find the individual branch current in Example 1.
The formula of current divider rule is

Where

As we calculated
Therefore

Hence it is proved from table.
The above discussion was in context of parallel resistor based circuits. However many other components can be connected in parallel
The parallel combination of resistors is very useful in many circuits where there is a need of a smaller resistor and you only have larger resistors available. Like if you have 2, resistors of 10K then you can make parallel combination to make it a 5K resistor. You can make it 20K also by connecting in series combination. Series combination will be discussed in later articles.
Other Examples of Parallel Circuit:
Parallel RLC Circuit:
The combination of various passive components like resistor, capacitor and inductor can generate different functions. The parallel RLC circuit can be used oscillator circuits, frequency tuning and filter circuits. The application of parallel RLC circuit is basically in AC high frequency circuit however the above discussed resistor RLC circuit is for DC circuit application.
Parallel Battery Bank:
The DC batteries can be connected in parallel combination to make a battery bank with higher AH ratings. Three 18650 batteries each 3.7V/3000mAh connected in parallel will generate an equivalent bank of 3.7V 9000mAh. Thus voltage will remain same but the capacity of battery bank will increase.
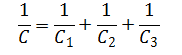
Parallel Connected Capacitors:
The capacitors can be connected in parallel to increase the total/equivalent capacitance. The three capacitors C1, C2 and C3 10uF each connected in parallel will make an equivalent of 30uF capacitance (C)

Electrical Loads Connected in Parallel:
The household electrical wiring is done such that the electrical loads like Fans, Tube Lights, energy savers, Air-conditioners, Washing machines, Iron, Fridge and other appliances are connected in parallel to each other. The 220V/110VAC is supplied equally to each appliance and each appliance will draw current differently according to its wattage/power.
Fault in Parallel Circuits:
Open Circuit:
In Example 1, if one of the three resistors get open circuit, then the current will not flow from that resistor but the current will still flow from other two. The voltage will still be equal upon each resistor.
Similarly, if one of the three resistors get short circuit, the voltage drop across all three resistors will become zero. The current will flow at maximum from shorted resistor while the rest of the two resistors will have zero current flow.